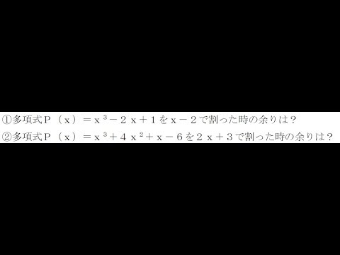
【共通テスト2021第2日程】数学IA 第5問(幾何)
共通テスト2021
2021年の共通テストのすべての問題に解説をつけましたー。確率分布と統計的推測もちゃんとあります。 共通テストは今年が最初の年なので,このテストからの難化・易化になります。IIBは昨年とあまり変化を感じませんでしたが,IAはそれなりに変わった印象がありますので,高1や高2の人は早めに見ておくと良いと思いました。
- ▲ 前の10件を見る
- 【共通テスト2021】数学2B第3問(確率分布と統計的推測)
- 【共通テスト2021第2日程】数学IA 第1問(2次方程式,図形と計量)
- 【共通テスト2021第2日程】数学IA 第2問(2次関数,データの分析)
- 【共通テスト2021第2日程】数学IA 第3問(確率)
- 【共通テスト2021第2日程】数学IA 第4問(整数)
- 【共通テスト2021第2日程】数学IA 第5問(幾何)
- 【共通テスト2021第2日程】数学IIB 第1問(指数対数関数・三角関数)
- 【共通テスト第2日程数学IIB】第2問(微分積分)
- 【共通テスト2021第2日程】数学IIB第3問(確率分布と統計的推測)
- 【共通テスト2021第2日程】数学2B第4問(数列)
- 【共通テスト2021第2日程】数学2B 第5問(ベクトル)
人気のチャンネル
予備校のノリで学ぶ「大学の数学・物理」
予備校のノリで学ぶ「大学の数学・物理」のチャンネルでは主に ①大学講座:大学レベルの理系科目 ②高校講座:受験レベルの理系科目 の授業動画を...
1,270,000人
648本
252,301,080回
3,002,365件
【楽しい授業動画】あきとんとん
ただの塾講師。 勉強が苦手な人のために,動画をあげていきたいと思います。 気付いたら,勉強の知識が入っていた!!ってぐらい楽しい授業を目...
662,000人
968本
60,500,189回
1,118,242件
YouTube高校 / 日本史・世界史
日本中を回って撮影した映像で日本史解説の動画を作っています Twitter:Y_Eschool Instagram:You.ele....
643,000人
408本
128,965,645回
934,215件





ラッキー動画







